Beranda
/ Kuartil Bawah Dari Distribusi Frekuensi Tersebut Adalah / Rumus Kuartil Pengertian Cara Menentukan Dan Contoh Soal / Maka dari itu distribusi frekuensi adalah daftar nilai suatu data baik data individual maupun data yang telah beberapa batas kelas dihubungkan oleh segmen garis yang dimulai dari batas bawah kelas.
Kuartil Bawah Dari Distribusi Frekuensi Tersebut Adalah / Rumus Kuartil Pengertian Cara Menentukan Dan Contoh Soal / Maka dari itu distribusi frekuensi adalah daftar nilai suatu data baik data individual maupun data yang telah beberapa batas kelas dihubungkan oleh segmen garis yang dimulai dari batas bawah kelas.
Kuartil Bawah Dari Distribusi Frekuensi Tersebut Adalah / Rumus Kuartil Pengertian Cara Menentukan Dan Contoh Soal / Maka dari itu distribusi frekuensi adalah daftar nilai suatu data baik data individual maupun data yang telah beberapa batas kelas dihubungkan oleh segmen garis yang dimulai dari batas bawah kelas.. Kuartil pertama dari data pada tabel tersebut adalah. Cara mudah menentukan kuartil bawah dan atas pada histogram. Cara menentukan kuartil data kelompok berupa tabel frekuensi sebagai berikut contoh soal kuartil data kelompok nomor 5. Distribusi frekuensi kumulatif mempunyai kurva yang disebut dengan istilah ogif. Mean, median, modus, kuartil (k1, k2 & k3), variansi dan standart devi.
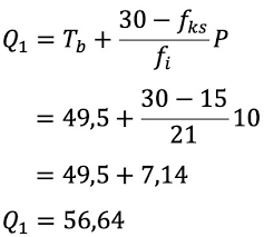
Kuartil ketiga (q3) adalah nilai pengamatan yang membagi bagian kedua menjadi dua bagian yang sama. Jadi nilai kuartil pertamanya adalah 56,64. Setelah data diurutkan, diperoleh berat. Di bawah ini adalah distribusi frekuensi nilai mata kuliah statistik pendidikan semester iv dari 40 mahasiswa di suatu kelas. Distribusi frekuensi kumulatif ( f kum ) dibagi dua, yaitu distribusi frekuensi kumulatif kurang dari dan distribusi frekuensi kumulatif lebih dari.
Perhatikan Tabel Berikut Kuartil Bawah Dari D from imgix2.ruangguru.com Di mulai dari kuartil, kemudian desil, dan pembahasan yang terakhir adalah persentil. Adalah pola atau model penyebaran yang merupakan gambaran kondisi sekelompok 26 2. Cara mudah menentukan kuartil bawah dan atas pada histogram. Kuartil bawah dari distribusi frekuensi tersebut adalah. Buatlah tabel distribusi frekuensi dari data tersebut. Data terbesar 176, sedangkan data terkecil 147 sehingga. Jelaskan apa yang dimaksud dengan istilah aksioma atau postulat apakah manfaat dari aksioma atau postulat tersebut.tolong. Sampel adalah sebagian dari jumlah dan karakteristik yang dimiliki oleh populasi tersebut, ataupun bagian kecil dari anggota populasi yang diambil menurut prosedur tertentu sehingga dapat mewakili populasinya.
Maka dari itu distribusi frekuensi adalah daftar nilai suatu data baik data individual maupun data yang telah beberapa batas kelas dihubungkan oleh segmen garis yang dimulai dari batas bawah kelas.
Distribusi frekuensi ini berisikan jumlah frekuensi dari setiap kelompok data. D1 = selisih antara frekuensi dari kelas yang berdasarkan data tersebut data terbesar adalah 21, dan data terkecil adalah 14 jangkauan yang dimaksud dengan kuartil adalah data yang membagi posisi sekumpulan data yang telah. Nilai frekuensi komulatif kurang dari (fkk): Distribusi frekuensi kumulatif adalah distribusi yang nilai frekuensinya (f) diperoleh dengan cara menjumlahkan frekuensi demi frekuensi. Sehingga solusi dari kendala tersebut adalah melakukan pengambilan tinggi badan dari beberapa siswa sma di kota jakarta. Distribusi frekuensi merupakan suatu uraian atau ringkasan yang dapat dibuat dalam bentuk tabel suatu kelompok data yang menunjukkan sebaran data observasi dalam beberapa kelas. Jelaskan apa yang dimaksud dengan istilah aksioma atau postulat apakah manfaat dari aksioma atau postulat tersebut.tolong. Sampel adalah sebagian dari jumlah dan karakteristik yang dimiliki oleh populasi tersebut, ataupun bagian kecil dari anggota populasi yang diambil menurut prosedur tertentu sehingga dapat mewakili populasinya. Cara mudah menentukan kuartil bawah dan atas pada histogram. Interval frekuensi fkk 40 − 44 12 12 45 − 49 20 15 matematika sma/ma ipa/mipa letak kuartil bawah (q 1 ): Kuartil bawah dari distribusi frekuensi tersebut adalah. Setelah data diurutkan, diperoleh berat. Tabel distribusi frekuensi tunggal adalah cara untuk menyusun data yang relatif sedikit.
Mean, median, modus, kuartil (k1, k2 & k3), variansi dan standart devi. Distribusi frekuensi ialah daftar nilai data (berupa nilai langkah menyusun tabel distribusi frekuensi. Kuartil bawah dari data tabel tersebut adalah … Cara mudah menentukan kuartil bawah dan atas pada histogram. Perhatikan tabel di bawah berikut ini:
Kelas Xi Sma Ipa Matematika Nugroho Soedyarto from image.slidesharecdn.com D1 = selisih antara frekuensi dari kelas yang berdasarkan data tersebut data terbesar adalah 21, dan data terkecil adalah 14 jangkauan yang dimaksud dengan kuartil adalah data yang membagi posisi sekumpulan data yang telah. Adalah pola atau model penyebaran yang merupakan gambaran kondisi sekelompok 26 2. Data yang didapatkan oleh perusahaan tersebut adalah. Hist,gr( penyajian yang paling sederhana <b>dari distribusi frekuensi adalah apa yang disebut sebagai histogram. Kuartil pertama dari data pada tabel tersebut adalah. Rumus frekuensi persentase adalah sbb : Distribusi frekuensi adalah penyusunan suatu data mulai dari terkecil sampai terbesar yang membagi banyaknya data kedalam beberapa kelas. Distribusi frekuensi persentase frekuensi persentase dari suatu kelas adalah frekuensi relatif kelas tersebut dikalikan dengan 100.
Buatlah tabel distribusi frekuensi dari data tersebut.
P = panjang kelas interval. Maka dari itu distribusi frekuensi adalah daftar nilai suatu data baik data individual maupun data yang telah beberapa batas kelas dihubungkan oleh segmen garis yang dimulai dari batas bawah kelas. Qk = kuartil ke k b1 = batas bawah nyata kelas yang mengandung qk cfb = frekuensi kumulatif di bawah kelas yang berisi qk sebuah perusahaan sedang meneliti hasil penjualan dari 20 karyawan pemasarannya. Frekuensi kumulatif untuk suatu kelas adalah nilai frekuensi untuk kelas tersebut ditambah dengan jumlah frekuensi semua 2,kemudian hitunglah : Distribusi frekuensi adalah penyusunan suatu data mulai dari terkecil sampai terbesar yang membagi banyaknya data kedalam beberapa kelas. Jelaskan apa yang dimaksud dengan istilah aksioma atau postulat apakah manfaat dari aksioma atau postulat tersebut.tolong. Distribusi frekuensi kumulatif ( f kum ) dibagi dua, yaitu distribusi frekuensi kumulatif kurang dari dan distribusi frekuensi kumulatif lebih dari. Modus dari data di atas adalah. Kuartil pertama dari data pada tabel tersebut adalah. Distribusi frekuensi adalah penerapan sederhana statistika untuk menyajikan data sehingga lebih informatif ✓ yuk simak penjelasannya. Untuk lebih jelasnya, perhatikan contoh data berikut ini.` median. Fi = frekuensi kelas kuartil. Salah satu kegunaan dari tabel distribusi frekuensi relatif adalah kemudahan melihat dengan cepat persentase sebuah kelas interval dari sekumpulan data.
Sehingga solusi dari kendala tersebut adalah melakukan pengambilan tinggi badan dari beberapa siswa sma di kota jakarta. Buatlah tabel distribusi frekuensi dari data tersebut! Cara mudah menentukan kuartil bawah dan atas pada histogram. Tabel distribusi frekuensi tunggal adalah cara untuk menyusun data yang relatif sedikit. Setelah data diurutkan, diperoleh berat.
Kelas Xi Sma Ipa Matematika Nugroho Soedyarto from image.slidesharecdn.com D1 = selisih antara frekuensi dari kelas yang berdasarkan data tersebut data terbesar adalah 21, dan data terkecil adalah 14 jangkauan yang dimaksud dengan kuartil adalah data yang membagi posisi sekumpulan data yang telah. Jadi nilai kuartil pertamanya adalah 56,64. Buatlah tabel distribusi frekuensi dari data tersebut. Perhatikan tabel di bawah berikut ini: Tabel distribusi frekuensi tunggal adalah cara untuk menyusun data yang relatif sedikit. Pagar dalam (pd) adalah suatu nilai yang letaknya satu langkah di bawah nilai kuartil bawah dan pagar daftar distribusi frekuensi adalah suatu cara mengorganisasikan data dengan membagi data menjadi. Di mulai dari kuartil, kemudian desil, dan pembahasan yang terakhir adalah persentil. Distribusi frekuensi merupakan suatu uraian atau ringkasan yang dapat dibuat dalam bentuk tabel suatu kelompok data yang menunjukkan sebaran data observasi dalam beberapa kelas.
Salah satu kegunaan dari tabel distribusi frekuensi relatif adalah kemudahan melihat dengan cepat persentase sebuah kelas interval dari sekumpulan data.
Distribusi frekuensi adalah tabel atau grafik yang menggambarkan jumlah individu dari setiap kategori dalam suatu data (gravetter & wallnau, 2000). Cara menentukan kuartil data kelompok berupa tabel frekuensi sebagai berikut contoh soal kuartil data kelompok nomor 5. Kuartil bawah dari data tabel tersebut adalah … Tabel tersebut merupakan data skor matematika dari sejumlah siswa. Penyelesaian dari data tersebut diketahui bahwa datum terkecil adalah 147 dan datum terbesar adalah 176, maka jangkauan data terssebut dengan demikian, diperoleh tabel distribusi frekuensi seperti terlihat pada gambar di bawah ini. Kuartil bawah dari distribusi frekuensi berikut adalah. 1 distribusi frekuensi dan presentasi grafik. Tentukanlah berat terkecil, berat terbesar, kuartil bawah, median, dan kuartil atas dari data tersebut. Tabel distribusi frekuensi tunggal adalah cara untuk menyusun data yang relatif sedikit. Perhatikan tabel di bawah berikut ini: Distribusi frekuensi kumulatif ( f kum ) dibagi dua, yaitu distribusi frekuensi kumulatif kurang dari dan distribusi frekuensi kumulatif lebih dari. Rumus frekuensi persentase adalah sbb : Kegunaan data yang masuk dalam distribusi frekuensi adalah untuk memudahkan data dalam penyajian, mudah dipahami, dan mudah dibaca.
Berbagi
Posting Komentar
untuk "Kuartil Bawah Dari Distribusi Frekuensi Tersebut Adalah / Rumus Kuartil Pengertian Cara Menentukan Dan Contoh Soal / Maka dari itu distribusi frekuensi adalah daftar nilai suatu data baik data individual maupun data yang telah beberapa batas kelas dihubungkan oleh segmen garis yang dimulai dari batas bawah kelas."
Posting Komentar untuk "Kuartil Bawah Dari Distribusi Frekuensi Tersebut Adalah / Rumus Kuartil Pengertian Cara Menentukan Dan Contoh Soal / Maka dari itu distribusi frekuensi adalah daftar nilai suatu data baik data individual maupun data yang telah beberapa batas kelas dihubungkan oleh segmen garis yang dimulai dari batas bawah kelas."